品质至上,客户至上,您的满意就是我们的目标
技术文章
当前位置: 首页 > 技术文章
Plant Phenomics | 使用高通量表型技术评估拟南芥中热应激诱导造成的变化
发表时间:2020-10-16 11:45:50点击:1543
来源:植物表型组学
分享:


在全球范围内,最近十年是自19世纪以来最热的十年,并且多次发生了打破历史记录的高温天气。热胁迫会导致植物在所有生长阶段的性能和生产能力下降,这使得高温热浪成为了农业生产中的严重威胁。但是,目前对热应激现象的研究主要集中在评估种子早期发育阶段的存活率或下胚轴伸长情况,以及在高温使得花粉活力降低的生殖阶段。少数针对营养生长阶段热应激反应的研究表明,营养生长阶段的耐热性有助于生殖生长阶段的适应能力。因此,了解热应激反应造成的变化以及培育在所有生长阶段均有耐热性的种质资源,对于确保未来的食品可持续供应至关重要。
目前,拟南芥已被广泛用于耐热性筛选,主要侧重点在于分析在琼脂平板上的幼苗生存能力、下胚轴伸长情况或者种子发芽情况。由于耐热性的表达依赖于多个过程,因此通过统计由表型简易性而不是生理重要性决定的简单性状并不能很好地反映出耐热反应的复杂性。通过非破坏性的方法(如采集可见光、热成像、叶绿素荧光图像等)连续监测植物在热暴露后的生长情况,可以洞悉那些人眼无法评估的与光合作用效率和植物冷却能力相对应的生理反应。自动化且受环境控制的系统能够在单个实验中高效地监测大量群体。表型性状,如植物的大小、温度以及光合作用效率已成功用于评估干旱、盐分和低温胁迫下植物的性能。
2020年7月,沙特阿拉伯阿布杜拉国王科技大学的Ge Gao等在Plant Phenomics发表了题为The Use of High-Throughput Phenotyping for Assessment of Heat Stress-Induced Changes in Arabidopsis的研究论文。
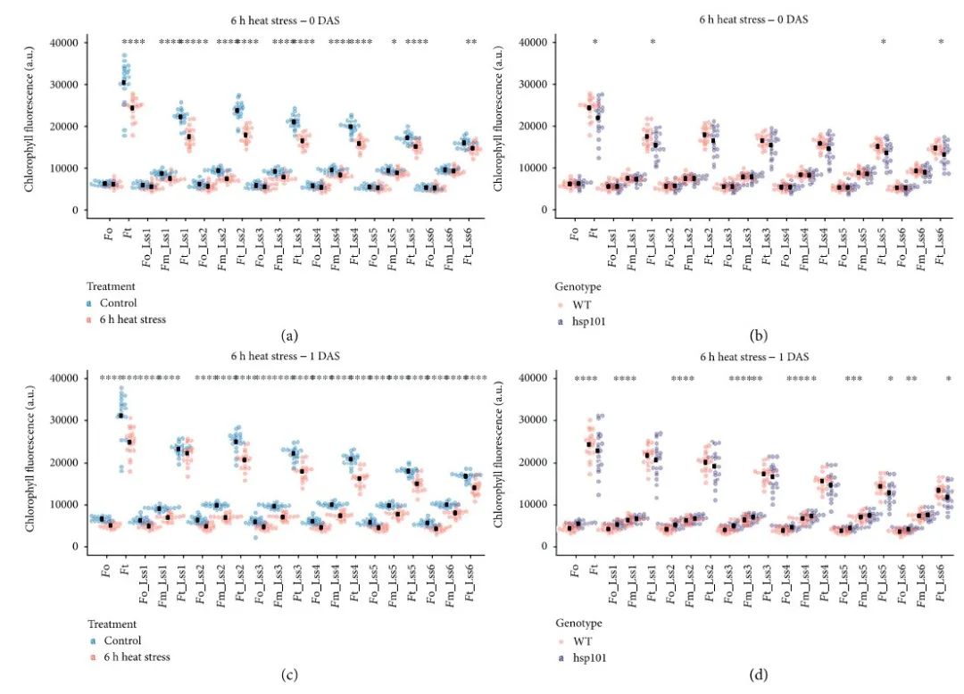
该文章中,论文作者调查了使用可见光、动态叶绿素荧光和红外成像技术评估拟南芥中热应激反应的可行性(Figure 1(b));并根据观察到的多个性状的显著变化,为拟南芥植物的营养生长期开发了生理相关的热胁迫方案(Figure 1(c))。此外,使用逻辑回归确定了最能够区分野生型(WT)和热敏性hsp101突变体的性状;通过研究拟南芥野生型(WT)和突变体(hsp101)中热诱导造成的变化,可以鉴定出可能表明耐热性降低的其他性状(Figure 2~3)。通过机器学习方法,论文作者发现在施加胁迫后立即维持光化学淬灭能够作为反映热胁迫耐受性的潜在标志,原因在于其与后续时间点植株大小的增加存在对应关系(Figure 4~6)。该文章为未来使用高通量表型平台的研究提供了基础,并揭示了影响热胁迫耐受性的新成分。

Figure 1: Schematic of the experimental setup

Figure 2: More pronounced reduction of the rosette size with increased length of heat treatment and mutation of hsp101.

Figure 3: Heat stress-induced changes in chlorophyll fluorescence show a dynamic profile.

Figure 4: Heat stress transiently reduces photochemical and nonphotochemical quenching.
论文链接
https://spj.sciencemag.org/journals/plantphenomics/2020/3723916/
——推荐阅读——
Easy MPE: Extraction of Quality Microplot Images for UAV-Based High-Throughput Field Phenotyping
https://spj.sciencemag.org/journals/plantphenomics/2019/2591849/
Plant Phenomics | Easy MPE:基于无人机高通量表型技术提取高质量田间小区图像
A High-Throughput Phenotyping Pipeline for Image Processing and Functional Growth Curve Analysis
https://spj.sciencemag.org/journals/plantphenomics/2020/7481687/
Plant Phenomics | 一种用于图像处理和函数型数据分析的高通量表型方法
About Plant Phenomics
《植物表型组学》(Plant Phenomics)是由南京农业大学和美国科学促进会(AAAS)合作创办的英文学术期刊,于2019年1月正式上线发行,是Science合作出版的第二本期刊。采用开放获取形式,刊载植物表型组学交叉学科热点领域具有突破性科研进展的原创性研究论文、综述、数据集和观点。具体范围涵盖高通量表型分析的最新技术,基于图像分析和机器学习的表型分析研究,提取表型信息的新算法,作物栽培、植物育种和农业实践中的表型组学新应用,与植物表型相结合的分子生物学、植物生理学、统计学、作物模型和其他组学研究,表型组学相关的植物生物学等。期刊已被CABI、CNKI和DOAJ数据库收录。
说明:本文由《植物表型组学》编辑部负责组稿。
中文内容仅供参考,一切内容以英文原版为准。
撰稿:王栋(实习)
编辑:周灿彧(实习)、孔敏
审核:尹欢
